Table of Contents − Volume 37, (2021)
Crystal Structure of Tetrapentylammonium Chloride Complex with Rac-1,1′-Bi-2-naphthol: The Effect of Solvent and Counter Anion on Biradial Conformation of the Surfactant Molecule
X-ray Structure Analysis Online, 2021, 37(8), 39.
[J-STAGE] Abstract + References + Supporing-Info / Full-text PDF
Crystal Structure of a Mixed-valent Hexanuclear Manganese Complex Made-up from Two Oxido-centered Triangular MnIIMnIII2 Cores
X-ray Structure Analysis Online, 2021, 37(8), 41.
[J-STAGE] Abstract + References + Supporing-Info / Full-text PDF
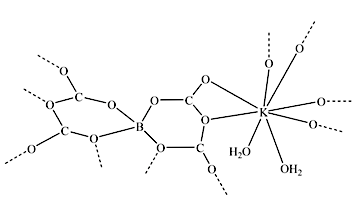
Unprecedented Formation of Potassium Borate Based Carbonate from Chloral Hydrate, Potassium Carbonate and Boric Acid
X-ray Structure Analysis Online, 2021, 37(8), 45.
[J-STAGE] Abstract + References + Supporing-Info / Full-text PDF

