Table of Contents − Volume 37, (2021)
Crystal Structure of a Lantern-type Dirhodium(II) Complex with Axial Pyridine Molecules cis-[Rh2(4-Me-pf)2(O2CCMe3)2(py)2], 4-Me-pf− = N,N′-Di-p-tolylformamidinate Anion
X-ray Structure Analysis Online, 2021, 37(11), 69.
[J-STAGE] Abstract + References + Supporing-Info / Full-text PDF
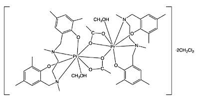
Dinuclear Praseodymium(III) Complex with N,N′-Bis(2-hydroxy-3,5-dimethylbenzyl)-N,N′-dimethyl-1,2-ethanediamine
X-ray Structure Analysis Online, 2021, 37(11), 73.
[J-STAGE] Abstract + References + Supporing-Info / Full-text PDF
Crystal Structure and Hirshfeld Surface Analysis of 1-(4-Chlorophenyl)-5-{4-[(2-methylphenyl)methoxy]phenyl}-1H-Pyrazole
X-ray Structure Analysis Online, 2021, 37(11), 77.
[J-STAGE] Abstract + References + Supporing-Info / Full-text PDF

