Table of Contents − Volume 36, (2020)
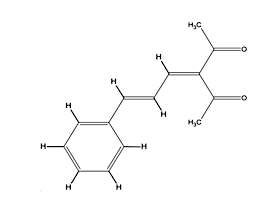
Analytical, Spectroscopic and Crystallographic Characterization of 3-[(2E)-3-Phenylprop-2-en-1-ylidene]pentane-2,4-dione
X-ray Structure Analysis Online, 2020, 36(5), 15.
[J-STAGE] Abstract + References + Supporing-Info / Full-text PDF

