Table of Contents − Volume 36, (2020)
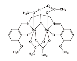
Dinuclear Manganese(III) Complex with a Schiff-base Having a Di-μ-acetato-μ-alkoxido-bridged Core
X-ray Structure Analysis Online, 2020, 36(3), 7.
[J-STAGE] Abstract + References + Supporing-Info / Full-text PDF

