Table of Contents − Volume 36, (2020)
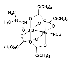
Crystal Structure of a Lantern-type Diruthenium(II,III) Complex with Axial Thiocyanato and DMF Ligands, [Ru2(O2CCMe3)4(NCS)(DMF)]
X-ray Structure Analysis Online, 2020, 36(10), 39.
[J-STAGE] Abstract + References + Supporing-Info / Full-text PDF
Crystal Structure of [3-(1,4,7,10-Tetraazacyclododecan-1-yl)propan-1-amine]zinc(II) Bis(perchlorate), [ZnIIL](ClO4)2
X-ray Structure Analysis Online, 2020, 36(10), 43.
[J-STAGE] Abstract + References + Supporing-Info / Full-text PDF

