Analytical Sciences: X-ray Structure Analysis Online


Search

Google:
J-STAGE: http://www.jstage.jst.go.jp/browse/xraystruct/

Browse the Journal

Select Volume:
Select Number:

Table of Contents − Volume 35, (2019)

Crystal Structure of [N-(9-Anthracenylmethyl)-1,3-propanediamine](2,2′-bipyridine)platinum(II) Chloride
Tatsuto KIWADA, Hiroshi TAKAYAMA, Hiromu KATAKASU, and Akira ODANI
X-ray Structure Analysis Online, 2019, 35(7), 39.

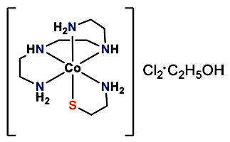
Crystal Structure of a Co(III) Complex with 2-Aminoethanethiol and Triethylenetetramine
Chika KUROGI and Toshiaki YONEMURA
X-ray Structure Analysis Online, 2019, 35(7), 43.