Analytical Sciences: X-ray Structure Analysis Online


Search

Google:
J-STAGE: http://www.jstage.jst.go.jp/browse/xraystruct/

Browse the Journal

Select Volume:
Select Number:

Table of Contents − Volume 34, (2018)

Molecular Planarity and Crystal Structures of N-Salicylideneaminopyrazine Derivatives
Haruki SUGIYAMA
X-ray Structure Analysis Online, 2018, 34(12), 57.

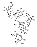
Crystal Structure of a Supramolecular Complex Built up from Molybdenum(II) Trifluoroacetate and Copper(II) Schiff-Base Components, [{CuLt-Bu}2{Mo2(O2CCF3)4}3(H2O)2]n, H2Lt-Bu = 2,3-bis((5-tert-butyl-2-hydroxybenzylidene)amino)-2,3-butenedinitrile
Makoto HANDA, Hiroshi KAMADA, Daisuke YOSHIOKA, Ichiro HIROMITSU, Kuninobu KASUGA, and Masahiro MIKURIYA
X-ray Structure Analysis Online, 2018, 34(12), 59.