Analytical Sciences: X-ray Structure Analysis Online


Search

Google:
J-STAGE: http://www.jstage.jst.go.jp/browse/xraystruct/

Browse the Journal

Select Volume:
Select Number:

Table of Contents − Volume 34, (2018)

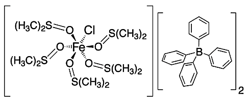
Crystal Structure of a Mononuclear Iron(III) Complex, Chloridopentakis(dimethylsulfoxide-κO)iron(III) Bis(tetraphenylborate)
Kosuke YOSHIDA, Ryoji MITSUHASHI, Masahiro MIKURIYA, and Hiroshi SAKIYAMA
X-ray Structure Analysis Online, 2018, 34(1), 1.

Crystal Structure of 7-(Diethylamino)-3-(2-oxazolyl)coumarin
Kanji KUBO, Taisuke MATSUMOTO, and Haruko TAKECHI
X-ray Structure Analysis Online, 2018, 34(1), 3.