Table of Contents − Volume 33, (2017)
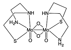
Synthesis, Crystal Structure, and DFT Calculation of a Dioxido-bridged Dinuclear Oxidomolybdenum(V) Complex with 2-(2-Aminoethyl)aminoethanethiol
X-ray Structure Analysis Online, 2017, 33(7), 37.
[J-STAGE] Abstract + References + Supporing-Info / Full-text PDF
Crystal Structure of N-(7-{[2-(Dimethylamino)ethyl]amino}-1-methyl-2-oxo-1,2-dihydro-1,6-naphthyridin-3-yl)-3,4,5-trimethoxybenzamide
X-ray Structure Analysis Online, 2017, 33(7), 41.
[J-STAGE] Abstract + References + Supporing-Info / Full-text PDF

