Table of Contents − Volume 33, (2017)
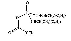
Synthesis, Spectroscopic Study and Crystal Structure of a New Single-Enantiomer C(O)NHP(O)-based Phosphoric Triamide, CCl3C(O)NHP(O)[(R)-(+)-NHCH(CH3)(C6H5)]2·0.25H2O
X-ray Structure Analysis Online, 2017, 33(4), 17.
[J-STAGE] Abstract + References + Supporing-Info / Full-text PDF
Ferromagnetic Dinuclear Nickel(II) Complex with a Schiff-base Having a Di-μ-phenolato-μ-methanol-bridged Core
X-ray Structure Analysis Online, 2017, 33(4), 21.
[J-STAGE] Abstract + References + Supporing-Info / Full-text PDF

