Table of Contents − Volume 32, (2016)
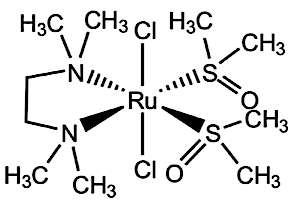
Crystal Structure of Trans(Cl),cis(S)-dichlorobis(dimethyl sulfoxide-S)(N,N,N′,N′-tetramethylethylenediamine)ruthenium(II)
X-ray Structure Analysis Online, 2016, 32(6), 25.
[J-STAGE] Abstract + References + Supporing-Info / Full-text PDF
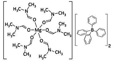
Crystal Structure of a C2-symmetric Hexakis-DMF Magnesium(II) Complex
X-ray Structure Analysis Online, 2016, 32(6), 27.
[J-STAGE] Abstract + References + Supporing-Info / Full-text PDF

