Analytical Sciences: X-ray Structure Analysis Online


Search

Google:
J-STAGE: http://www.jstage.jst.go.jp/browse/xraystruct/

Browse the Journal

Select Volume:
Select Number:

Table of Contents − Volume 32, (2016)

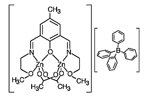
Crystal Structure of a Dinuclear Zinc(II) Complex with a Phenol-based Dinucleating Ligand
Misaki ITO, Ryoji MITSUHASHI, Masahiro MIKURIYA, and Hiroshi SAKIYAMA
X-ray Structure Analysis Online, 2016, 32(4), 13.

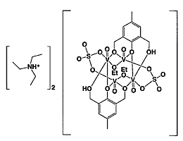
Synthesis and Crystal Structure of a Tetranuclear Oxidovanadium(IV) Complex with 2,6-Bis(hydroxymethyl)-4-methylphenol
Masahiro MIKURIYA, Masami FUKUTANI, Masataka OMOTE, Daisuke YOSHIOKA, and Ryoji MITSUHASHI
X-ray Structure Analysis Online, 2016, 32(4), 15.