Table of Contents − Volume 31, (2015)
Synthesis and Crystal Structure of a New Hydrated Phosphinate Salt, [(C6H5CH2)2NH2][(C6H5)2P(O)(O)]•H2O
X-ray Structure Analysis Online, 2015, 31(8), 37.
[J-STAGE] Abstract + References + Supporing-Info / Full-text PDF
Mesomorphic Property and Crystal Structure of 4-Carboxybenzylidene-4′-hexylaniline
X-ray Structure Analysis Online, 2015, 31(8), 39.
[J-STAGE] Abstract + References + Supporing-Info / Full-text PDF
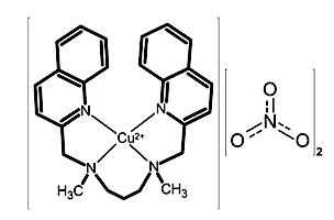
Crystal Structure of a Copper(II) Complex with N,N′-Bis(2-methylquinolyl)-dimethyl-1,3-propanediamine
X-ray Structure Analysis Online, 2015, 31(8), 41.
[J-STAGE] Abstract + References + Supporing-Info / Full-text PDF

