Table of Contents − Volume 31, (2015)
Crystal Structure of a Fluoro Analogue of 3,4-(Methylenedioxy)amphetamine
X-ray Structure Analysis Online, 2015, 31(4), 23.
[J-STAGE] Abstract + References + Supporing-Info / Full-text PDF
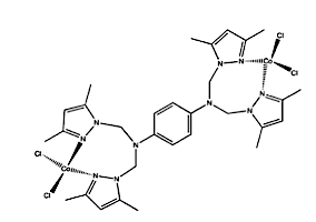
Dinuclear Cobalt(II) Complex with N,N,N′,N′-Tetrakis(3,5-dimethyl-1-pyrazolyl)methyl-1,4-phenylenediamine Having a Tetrahedral Coordination Geometry
X-ray Structure Analysis Online, 2015, 31(4), 25.
[J-STAGE] Abstract + References + Supporing-Info / Full-text PDF
Crystal Structure of Bis(4-aminopyridine)bis(isothiocyanato)cobalt(II)
X-ray Structure Analysis Online, 2015, 31(4), 27.
[J-STAGE] Abstract + References + Supporing-Info / Full-text PDF

