Analytical Sciences: X-ray Structure Analysis Online


Search

Google:
J-STAGE: http://www.jstage.jst.go.jp/browse/xraystruct/

Browse the Journal

Select Volume:
Select Number:

Table of Contents − Volume 31, (2015)

Crystal Structure of 4,4′-Bi(3-(1-methylethoxy)-3-cyclobutene-1,2-dione)
K. Ueji, Y. Tamaki, and K. Miyamura
X-ray Structure Analysis Online, 2015, 31(12), 57.

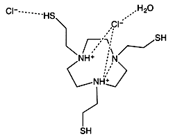
Synthesis and Crystal Structure of 1,4,7-Tris(2-mercaptoethyl)-1,4,7-triazacyclononane
M. Mikuriya, K. Miyoshi, S. Kurano, J. Taguchi, T. Kotera, and D. Yoshioka
X-ray Structure Analysis Online, 2015, 31(12), 59.