Table of Contents − Volume 31, (2015)
Crystal Structure of an Epalrestat Methanol Solvate
X-ray Structure Analysis Online, 2015, 31(1), 1.
[J-STAGE] Abstract + References + Supporing-Info / Full-text PDF
Rhenium Complex with 2-[(2-Pyridylmethyl)amino]ethanethiol
X-ray Structure Analysis Online, 2015, 31(1), 3.
[J-STAGE] Abstract + References + Supporing-Info / Full-text PDF
Crystal Structure of 4-Hydroxy-3-methoxybenzaldehyde-4-methylthiosemicarbazone
X-ray Structure Analysis Online, 2015, 31(1), 5.
[J-STAGE] Abstract + References + Supporing-Info / Full-text PDF
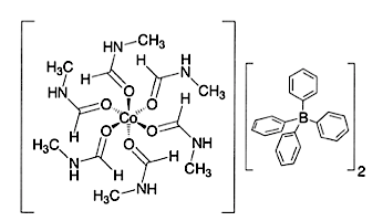
Structural Feature of an Hexakis-N-methylformamide Cobalt(II) Complex: Pseudo-S6 and Pseudo-C2 Complex Cations
X-ray Structure Analysis Online, 2015, 31(1), 7.
[J-STAGE] Abstract + References + Supporing-Info / Full-text PDF

