Table of Contents − Volume 30, (2014)
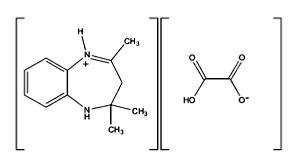
Crystal Structure of 2,2,4-Trimethyl-2,3-dihydro-1H-1,5-benzodiazepin-5-ium hydrogen oxalate
X-ray Structure Analysis Online, 2014, 30(9), 43.
[J-STAGE] Abstract + References + Supporing-Info / Full-text PDF
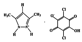
The Molecular and Crystal Structure of 3,5-Dimethylpyrazole with Chloranilic Acid Adduct
X-ray Structure Analysis Online, 2014, 30(9), 45.
[J-STAGE] Abstract + References + Supporing-Info / Full-text PDF
The Crystal Structure of Benzimidazole Complex with Chloranilic Acid Hydrate Adduct
X-ray Structure Analysis Online, 2014, 30(9), 47.
[J-STAGE] Abstract + References + Supporing-Info / Full-text PDF

