Table of Contents − Volume 30, (2014)
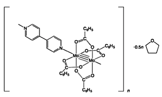
Synthesis and Crystal Structure of a Chain Complex of Molybdenum(II) Benzoate and 4,4′-Bipyridyl in Relation to the N2-Adsorption Property
X-ray Structure Analysis Online, 2014, 30(6), 25.
[J-STAGE] Abstract + References + Supporing-Info / Full-text PDF
Crystal Structure of 1,3-Di(quinolin-3-yl)urea
X-ray Structure Analysis Online, 2014, 30(6), 27.
[J-STAGE] Abstract + References + Supporing-Info / Full-text PDF
Synthesis and Crystal Structure of bis[24]dithahexaphyrin(1.0.0.1.0.0)
X-ray Structure Analysis Online, 2014, 30(6), 29.
[J-STAGE] Abstract + References + Supporing-Info / Full-text PDF
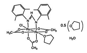
Crystal Structure and 1H NMR Spectral Property of a Lantern-Type Diruthenium(II,III) Complex with One Formamidinato and Three Acetato Bridges
X-ray Structure Analysis Online, 2014, 30(6), 31.
[J-STAGE] Abstract + References + Supporing-Info / Full-text PDF

