Table of Contents − Volume 30, (2014)
Crystal Structure of 2-Cyano-N-cyclohexylacetamide
X-ray Structure Analysis Online, 2014, 30(5), 17.
[J-STAGE] Abstract + References + Supporing-Info / Full-text PDF
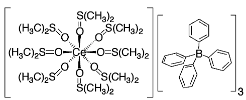
Structural Feature of an Octakis-DMSO Cerium(III) Complex: Tetragonal Antiprismatic Coordination Geometry along the c Axis
X-ray Structure Analysis Online, 2014, 30(5), 19.
[J-STAGE] Abstract + References + Supporing-Info / Full-text PDF
Crystal Structure of 7-(Diethylamino)-3-(oxazol-5-yl)coumarin
X-ray Structure Analysis Online, 2014, 30(5), 21.
[J-STAGE] Abstract + References + Supporing-Info / Full-text PDF
Crystal Structure of 7-(Dimethylamino)-2H-1-benzopyran-2-one
X-ray Structure Analysis Online, 2014, 30(5), 23.
[J-STAGE] Abstract + References + Supporing-Info / Full-text PDF

