Table of Contents − Volume 30, (2014)
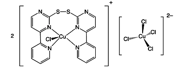
Trigonal-bipyramidal Copper(II) Cation with a Seven-membered Chelate Ring Containing a Disulfide Bond and Distorted Tetrahedral Copper(II) Anion
X-ray Structure Analysis Online, 2014, 30(4), 13.
[J-STAGE] Abstract + References + Supporing-Info / Full-text PDF
Crystal Structure of a Vinylidene Iron Complex, Cis-[(η–Cp)2Fe2(μ–CO)(CO)2-{μ–C=C(COOCH3)2}], Formed by 1,2-Acyl Shift of Dimethylacetylenedicarboxylate
X-ray Structure Analysis Online, 2014, 30(4), 15.
[J-STAGE] Abstract + References + Supporing-Info / Full-text PDF

