Table of Contents − Volume 30, (2014)
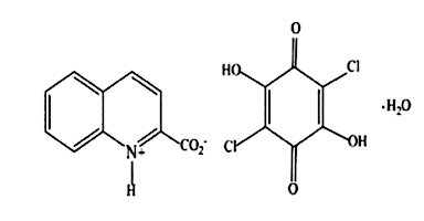
Crystal Structure of a 1:1 Non-Proton-Transfer Hydrogen-Bonded Complex of Zwitterionic Quinaldic Acid with Chloranilic Acid Hydrate Adduct
X-ray Structure Analysis Online, 2014, 30(12), 55.
[J-STAGE] Abstract + References + Supporing-Info / Full-text PDF
Crystal Structure of a Dinuclear Co Complex with Doubly Bridged Fluoride and Peroxo Ligands: μ-fluoro μ-peroxo bis{tris(2-pyridylmethyl)amine} dicobalt(III) tris(tetrafluoroborate), [Co2(μ-F)(μ-O2)(tpa)2](BF4)3
X-ray Structure Analysis Online, 2014, 30(12), 57.
[J-STAGE] Abstract + References + Supporing-Info / Full-text PDF
Crystal Structure and Synthesis of N-cyclohexyl-3β-hydroxyandrost-5,16-diene-17-carboxamide dihydrate
X-ray Structure Analysis Online, 2014, 30(12), 59.
[J-STAGE] Abstract + References + Supporing-Info / Full-text PDF

