Table of Contents − Volume 29, (2013)
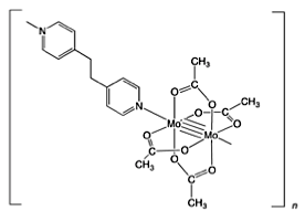
Synthesis and Crystal Structure of a Chain Complex of Molybdenum(II) Acetate and 1,2-Bis(4-pyridyl)ethane Aiming at N2-Adsorption Property
X-ray Structure Analysis Online, 2013, 29(8), 31.
[J-STAGE] Abstract + References + Supporing-Info / Full-text PDF
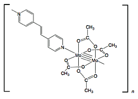
Synthesis and Crystal Structure of a Chain Complex of Molybdenum(II) Acetate and trans-1,2-Bis(4-pyridyl)ethylene in Relation to the N2-Adsorption Property
X-ray Structure Analysis Online, 2013, 29(8), 33.
[J-STAGE] Abstract + References + Supporing-Info / Full-text PDF

