Analytical Sciences: X-ray Structure Analysis Online


Search

Google:
J-STAGE: http://www.jstage.jst.go.jp/browse/xraystruct/

Browse the Journal

Select Volume:
Select Number:

Table of Contents − Volume 29, (2013)

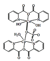
Crystal Structure of a Copper(II)-2-pyridinecarboxylic Acid Anhydride Complex
T. Yokoyama, T. Shiba, M. Yoshise, M. Toda, H. Akashi, and M. Zenki
X-ray Structure Analysis Online, 2013, 29(7), 27.

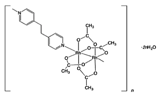
Synthesis and Crystal Structure of a Chain Complex of Rhodium(II) Acetate and 1,2-Bis(4-pyridyl)ethane having an N2-Adsorption Property
M. Mikuriya, J. Yamamoto, K. Ouchi, S. Takada, D. Yoshioka, H. Tanaka, and M. Handa
X-ray Structure Analysis Online, 2013, 29(7), 29.