Analytical Sciences: X-ray Structure Analysis Online


Search

Google:
J-STAGE: http://www.jstage.jst.go.jp/browse/xraystruct/

Browse the Journal

Select Volume:
Select Number:

Table of Contents − Volume 29, (2013)

Synthesis and X-ray Crystal Structure of Bis(O-propylxanthato)-bis(3-chloropyridine)nickel(II)
K. Singh, I. Kour, G. Kour, R. Sachar, V. K. Gupta, and Rajnikant
X-ray Structure Analysis Online, 2013, 29(4), 15.

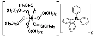
Structural Features of Hexakis-DMSO Nickel(II) Complex Cations: Pseudo-S6- and Pseudo-S4-Propeller-Like Structures
R. Sudo, D. Yoshioka, M. Mikuriya, and H. Sakiyama
X-ray Structure Analysis Online, 2013, 29(4), 17.