Table of Contents − Volume 29, (2013)
Crystal Structure of 6-Methyl-4-[(quinolin-8-yloxy)methyl]-2H-chromen-2-one
X-ray Structure Analysis Online, 2013, 29(2), 5.
[J-STAGE] Abstract + References + Supporing-Info / Full-text PDF
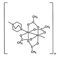
Synthesis, Crystal Structure, and N2-Adsorption Property of a Chain Complex of Rhodium(II) Acetate and 1,4-Diazabicyclo[2.2.2]octane
X-ray Structure Analysis Online, 2013, 29(2), 7.
[J-STAGE] Abstract + References + Supporing-Info / Full-text PDF

