Analytical Sciences: X-ray Structure Analysis Online


Search

Google:
J-STAGE: http://www.jstage.jst.go.jp/browse/xraystruct/

Browse the Journal

Select Volume:
Select Number:

Table of Contents − Volume 29, (2013)

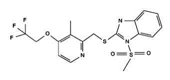
Synthesis and Structural Studies of 2-((3-Methyl-4-(2,2,2-trifluoroethoxy)pyridin-2-yl)methylthio)-1-(methylsulfonyl)-1H-benzo[d]imidazole
C. M. SHIVAPRASAD, S. M. KUMAR, B. C. Manjunath, T. R. Swaroop, K. S. Rangappa, and N. K. Lokanath
X-ray Structure Analysis Online, 2013, 29(12), 47.

Crystal Structure of a Short Alkyl Chain Pyridine-Based Bisurea Compound: The Effects of Alkyl Chain Length in a Supramolecule Module
E. Marfo-Owusu, K. Yabuuchi, T. Kato, and D. J. Watkin
X-ray Structure Analysis Online, 2013, 29(12), 49.