Table of Contents − Volume 29, (2013)
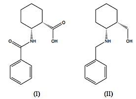
Crystal Structures of (1S,2R)-2-benzamidocyclohexane-1-calboxylic acid and [(1S,2R)-2-(benzylamino)cyclohexyl]methanol
X-ray Structure Analysis Online, 2013, 29(1), 1.
[J-STAGE] Abstract + References + Supporing-Info / Full-text PDF
Synthesis and Crystal Structure of a Sulfur-bridged Cubane-type Molybdenum-Palladium Cluster with a Hydrotris(methimazolyl)borate Ligand
X-ray Structure Analysis Online, 2013, 29(1), 3.
[J-STAGE] Abstract + References + Supporing-Info / Full-text PDF

