Table of Contents − Volume 28, (2012)
Synthesis and Crystal Structure of 4-[2-(Methyl-pyridin2-ylamino)ethoxy]-benzaldoxime
X-ray Structure Analysis Online, 2012, 28(4), 25.
[J-STAGE] Abstract + References + Supporing-Info / Full-text PDF
Crystal Structure of (4-Benzoyl-2-methyl-phenoxy)-acetic acid ethyl ester
X-ray Structure Analysis Online, 2012, 28(4), 27.
[J-STAGE] Abstract + References + Supporing-Info / Full-text PDF
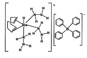
Crystal Structure of (Cycloocta-1,5-diene)tris(hydrazine)hydrido-ruthenium(II) tetraphenylborate
X-ray Structure Analysis Online, 2012, 28(4), 29.
[J-STAGE] Abstract + References + Supporing-Info / Full-text PDF
Cocrystallization of Diphenylamine and Picric acid (1:2)
X-ray Structure Analysis Online, 2012, 28(4), 31.
[J-STAGE] Abstract + References + Supporing-Info / Full-text PDF
Synthesis and Crystal Structure of Bis{2-[(2-hydroxymethylphenyl)-iminomethyl]phenolato}chromium(III) nitrate monohydrate
X-ray Structure Analysis Online, 2012, 28(4), 33.
[J-STAGE] Abstract + References + Supporing-Info / Full-text PDF
Supramolecular Structure of 5-Hydroxyisophthalic Acid-Ethanol 2:1 Solvate
X-ray Structure Analysis Online, 2012, 28(4), 35.
[J-STAGE] Abstract + References + Supporing-Info / Full-text PDF

