Table of Contents − Volume 28, (2012)
Crystal Structure of Bis(O-n-butyldithiocarbonato-S,S´)(1,10-phenanthroline)-manganese(II)
X-ray Structure Analysis Online, 2012, 28(12), 85.
[J-STAGE] Abstract + References + Supporing-Info / Full-text PDF
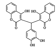
Crystal Structure of 4-Hydroxy-3-[(2-oxo-2H-chromen-3-yl)-(3,4-dihydroxyphenyl)methyl]chromen-2-one – ethanol solvate
X-ray Structure Analysis Online, 2012, 28(12), 87.
[J-STAGE] Abstract + References + Supporing-Info / Full-text PDF

