Analytical Sciences: X-ray Structure Analysis Online


Search

Google:
J-STAGE: http://www.jstage.jst.go.jp/browse/xraystruct/

Browse the Journal

Select Volume:
Select Number:

Table of Contents − Volume 27, (2011)

Synthesis and Crystal Structure of Bis pyridinium 1,2-Ethane periodate
M. Gholizadeh, S. F. Hojati, M. Pourayoubi, B. Maleki, M. Kia, B. Notash
X-ray Structure Analysis Online, 2011, 27(9), 47.

Synthesis and Crystal Structure of Rhodium(II) Pentafluorobenzoate Dimer with Axial Methanol Molecules
M. Handa, Y. Ishitobi, K. Moriyama, T. Ikeue, D. Yoshioka, and M. Mikuriya
X-ray Structure Analysis Online, 2011, 27(9), 49.

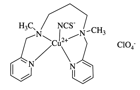
Crystal Structure of Isothiocyanato-N,N′-dimethyl-N,N′-bis(pyridine-2-ylmethyl)propane-1,3-diaminecopper(II) Perchlorate
T. Yokoyama, M. Yoshise, S. Hase, A. Kawate, H. Akashi, and M. Zenki
X-ray Structure Analysis Online, 2011, 27(9), 51.

Crystal Structure of 2-(4-Chlorophenyl)-1,4,5-triphenyl-(1H)-imidazole
K. Kapoor, V. K. Gupta, Rajnikant, P. Gupta, and S. Paul
X-ray Structure Analysis Online, 2011, 27(9), 53.