Table of Contents − Volume 27, (2011)
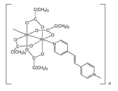
Synthesis and Crystal Structure of a Chain Complex of Rhodium(II) Pivalate and trans-1,2-Bis(4-pyridyl)ethylene with an N2-Adsorption Property
X-ray Structure Analysis Online, 2011, 27(6), 27.
[J-STAGE] Abstract + References + Supporing-Info / Full-text PDF
X-ray Single-Crystal Analysis of Na2H[(P0.52As0.48)O4]·7H2O
X-ray Structure Analysis Online, 2011, 27(6), 29.
[J-STAGE] Abstract + References + Supporing-Info / Full-text PDF
Synthesis and Crystal Structure of a New Organic-Inorganic Hybrid Compound: Tris(1,8-diammoniumoctane)bis(tetrachlorocobaltate) dichloride
X-ray Structure Analysis Online, 2011, 27(6), 31.
[J-STAGE] Abstract + References + Supporing-Info / Full-text PDF
Synthesis and Molecular Structure of 4,6-Di-tert-butyl-2-mesitylbenzo-[d][1,3,2]dioxaborole
X-ray Structure Analysis Online, 2011, 27(6), 33.
[J-STAGE] Abstract + References + Supporing-Info / Full-text PDF
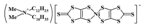
Crystal Structure of Dimethyldodecylhexadecylammonium bis(2-thioxo-1,3-dithiole-4,5-dithiolato)nickelate(III)
X-ray Structure Analysis Online, 2011, 27(6), 35.
[J-STAGE] Abstract + References + Supporing-Info / Full-text PDF

