Table of Contents − Volume 27, (2011)
Synthesis and Crystal Structure of LiLaP4O12
X-ray Structure Analysis Online, 2011, 27(5), 21.
[J-STAGE] Abstract + References + Supporing-Info / Full-text PDF
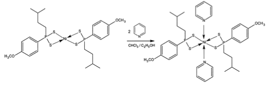
Synthesis and Determination of Crystal and Molecular Structure of {Bispyridine-bis[4-methoxyphenyl(3-methylbutyl)dithiophosphinato]}nickel(II)
X-ray Structure Analysis Online, 2011, 27(5), 23.
[J-STAGE] Abstract + References + Supporing-Info / Full-text PDF
Synthesis and Crystal Structure of (3-NH3CH2C5H4NH)SO4·H2O
X-ray Structure Analysis Online, 2011, 27(5), 25.
[J-STAGE] Abstract + References + Supporing-Info / Full-text PDF

