Analytical Sciences: X-ray Structure Analysis Online


Search

Google:
J-STAGE: http://www.jstage.jst.go.jp/browse/xraystruct/

Browse the Journal

Select Volume:
Select Number:

Table of Contents − Volume 27, (2011)

Synthesis and Crystal Structure Study of 4-Anilino-3-[(4-benzylpiperazin-1-yl)-methyl]-2H-chromen-2-one
S. Neetha, D. N. Joshipura, M. A. Sridhar, J. S. Prasad, and A. Shah
X-ray Structure Analysis Online, 2011, 27(1), 1.

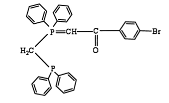
Crystal Structure of 4-Bromo benzoylmethylenediphenyldiphenylphosphinomethylphosphorane
S. J. Sabounchei, S. Samiee, D. Morales-Morales, and S. Hernandez-Ortega
X-ray Structure Analysis Online, 2011, 27(1), 3.

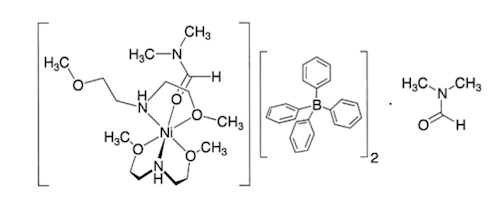
Synthesis and Crystal Structure of a Nickel(II) Complex with Bis(2-methoxyethyl)amine
R. Yamaguchi, M. Tasaki, E. Asato, and H. Sakiyama
X-ray Structure Analysis Online, 2011, 27(1), 5.