Table of Contents − Volume 26, (2010)
Crystal Structure of a Hybrid Cyclohexaphosphate: [o-C7H10NO]4Li2P6O18⋅5H2O
X-ray Structure Analysis Online, 2010, 26(6), 45.
[J-STAGE] Abstract + References + Supporing-Info / Full-text PDF
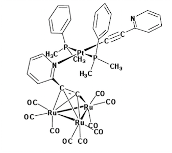
Crystal Structure of a Mixed Metal Compound Cross-Linked by 2-Ethynylpyridine, [PtRu3(μ4-η1:η2:η2-C≡CPy-κN)(η1-C≡CPy)(CO)9(PMe2Ph)2]
X-ray Structure Analysis Online, 2010, 26(6), 47.
[J-STAGE] Abstract + References + Supporing-Info / Full-text PDF
Preparation and Crystal Structure of a Phenoxo-Bridged Dinuclear Copper(II) Complex with N-Salicylidene-2-hydroxy-5-bromobenzylamine
X-ray Structure Analysis Online, 2010, 26(6), 49.
[J-STAGE] Abstract + References + Supporing-Info / Full-text PDF

