Analytical Sciences: X-ray Structure Analysis Online


Search

Google:
J-STAGE: http://www.jstage.jst.go.jp/browse/xraystruct/

Browse the Journal

Select Volume:
Select Number:

Table of Contents − Volume 26, (2010)

Crystal Structure of 1-Methyl-4-[2-(4-hydroxyphenyl)ethenyl]pyridinium hydrogensquarate
B. B. Ivanova, T. Kolev, H. Mayer-Figge, and W. S. Sheldrick
X-ray Structure Analysis Online, 2010, 26(4), 25.

Crystal Structure of 4-Isonicotinoyl Coumarin
B. B. Ivanova R. D. Nikolova, S. Zareva, H. Mayer-Figge, and W. S. Sheldrick
X-ray Structure Analysis Online, 2010, 26(4), 27.

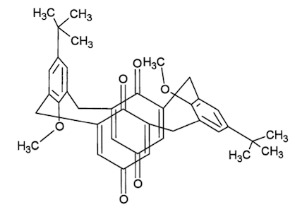
Electrosynthesis and Structural Studies of 5,17-Di-tert-butyl-26,28-dimethoxycalix[4]arene-25,27-diquinone
S. Meddeb-Limem, S. Besbes-Hentati, H. Said, B. Malézieux, L. M. Chamoreau, and M. Bouvet
X-ray Structure Analysis Online, 2010, 26(4), 29.

Zigzag Sheet Crystal Packing in a Halogen-bonding Imidazolium Salt: 1-Butyl-4,5-dibromo-3-methylimidazolium Iodide
T. Mukai and K. Nishikawa
X-ray Structure Analysis Online, 2010, 26(4), 31.

Synthesis and Crystal Structure of [RuCl(6-hydroxypicolinato)-(2,2′;6′,2″-terpyridine)](N,N-dimethylformamide)
Y. Nakama, T. Nishioka, T. Nakasone, E. Asato, I. Kinoshita, and S. Takara
X-ray Structure Analysis Online, 2010, 26(4), 33.