Analytical Sciences: X-ray Structure Analysis Online


Search

Google:
J-STAGE: http://www.jstage.jst.go.jp/browse/xraystruct/

Browse the Journal

Select Volume:
Select Number:

Table of Contents − Volume 26, (2010)

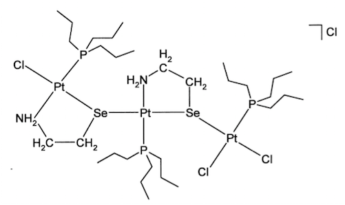
Crystal Structure of [Pt3Cl3(μ-SeCH2CH2NH2)2(PPr3)3]Cl
L. B. Kumbhare, A. Wadawale, and V. K. Jain
X-ray Structure Analysis Online, 2010, 26(11), 69.

Synthesis and Crystal Structure of a Dinuclear Manganese(III) Complex of 1-[(2-Hydroxymethylphenyl)iminomethyl]-2-naphthol
R. Matsunaga, Y. Yamada, M. Koikawa, and T. Tokii
X-ray Structure Analysis Online, 2010, 26(11), 71.

Synthesis and Crystal Structure of (Cs3.5Rb0.5)[(Se0.85S0.15)O3]2[Te(OH)6]3
M. Djemel, M. Abdelhedi, M. Dammak, and A. Cousson
X-ray Structure Analysis Online, 2010, 26(11), 73.