Analytical Sciences: X-ray Structure Analysis Online


Search

Google:
J-STAGE: http://www.jstage.jst.go.jp/browse/xraystruct/

Browse the Journal

Select Volume:
Select Number:

Table of Contents − Volume 26, (2010)

Crystal Structure of 2-S-(1′-Deoxy-2′,3′:4′,5′-di-O-isopropylidene-D,L-xylit-1′-ylthio)-3-methylquinoxaline
D. MONDIEIG, Ph. NÉGRIER, J. M. LÉGER, S. MASSIP, B. BENALI, C. JERMOUMI, and B. LAKHRISSI
X-ray Structure Analysis Online, 2010, 26(1), 1.

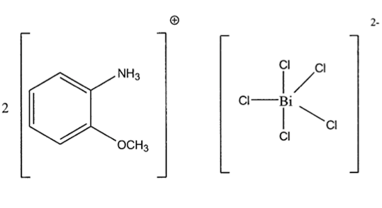
Synthesis and Crystal Structure of [C6H4OCH3NH3]2BiCl5
C. HRIZI and S. CHAABOUNI
X-ray Structure Analysis Online, 2010, 26(1), 3.

Crystal Structure of 1,3,5-Trimethyl-5-phenyl-2,4,6(1H,3H,5H)-pyrimidinetrithione
H. TAKECHI, K. KUBO, H. TAKAHASHI, and T. MATSUMOTO
X-ray Structure Analysis Online, 2010, 26(1), 5.